• Предмет: Алгебра
  • Автор: sp8739163
  • Вопрос задан 7 лет назад

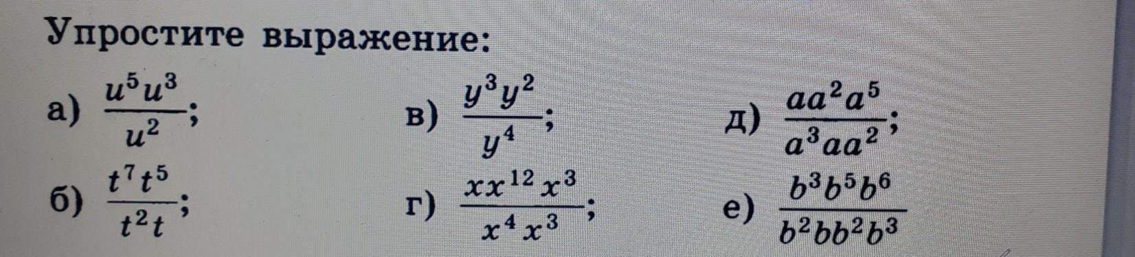
ПЖЖЖЖЖЖ ПОМОГИТЕ ТРУДНО КАПЕЦ ​

Приложения:

Ответы

Ответ дал: kasimovamokhinur06
0

Ответ:

u {}^{5} u {}^{3}  \div u {}^{2 }  = u {}^{6}

y {}^{3} y {}^{2}  \div y {}^{4}  = y

aa {}^{2} a {}^{5}  \div a {}^{3} aa {}^{2}  = a {}^{2}

Объяснение:

3-2=1+5=6

3+2-4=1

(1+2+5)-(3+1+2)=2

Вас заинтересует