Самостоятельная работа
Умножение одночлена на многочлен
Вариант 2
А1. Выполните умножение одночленов:
а) -4а*7а4, б)8ав*8*2а3в2
А2. Выполните умножение одночлена на многочлен:
а)8в(в-2) ; б)-2х(3а-4) ; в) -6в(2а-8в+2);
г)2к(6к7-0,6к+4) ; д) -7у(у3+2у-8).
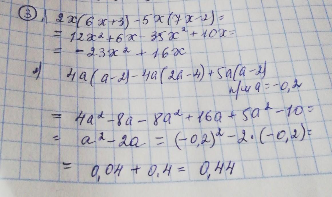
А3. Упростите выражение 2х(6х+3)-5х(7х-2).
В1. Упростите выражение 4а(а-2)-4а(2а-4)+5а(а-2)
и найдите его значение при а=-0,2.
Ответы
Ответ дал:
2
Ответ:
Смотри решение на фото....
Приложения:


Вас заинтересует
2 года назад
2 года назад
2 года назад
8 лет назад
8 лет назад
9 лет назад
9 лет назад