Ответы
Ответ дал:
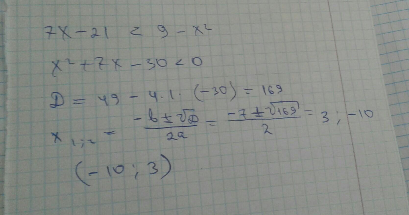
1
Ответ:
вот ответ сделай пожалуйста лучшим
Приложения:

YAKUDZA18:
лайкни
Вас заинтересует
2 года назад
2 года назад
2 года назад
2 года назад
8 лет назад
8 лет назад
9 лет назад
9 лет назад