• Предмет: Алгебра
  • Автор: Аноним
  • Вопрос задан 7 лет назад

желательно как можно быстрее, делать только 2 и 3 задание, алгебра 8 класс​

Приложения:

Ответы

Ответ дал: maria722
1

Ответ:

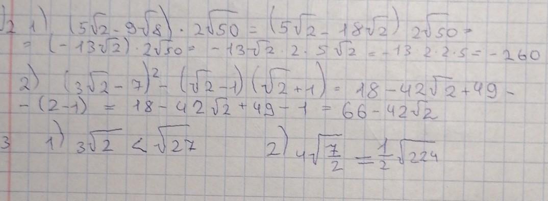
№2) 1.-260

2.66-42*

 \sqrt{2}

№3 1.< 2.=

решение на фото

Приложения:
Вас заинтересует