• Предмет: Алгебра
  • Автор: oksana150520
  • Вопрос задан 7 лет назад

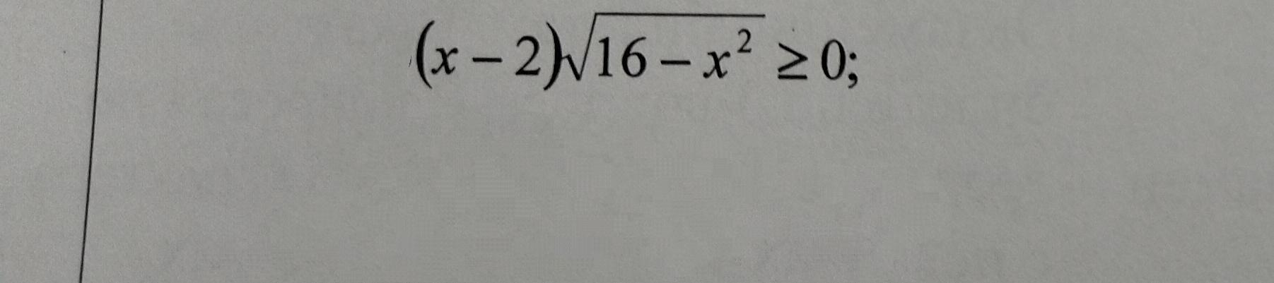
Срочно помогите!!!!!!!!!!

Приложения:

Ответы

Ответ дал: asemkulserikbaevna
0

х=[2;+∞]

х≤16

ну как то так(

Приложения:
Вас заинтересует