ПОМОГИТЕ, ОЧЕНЬ НАДО
ДАЮ 25 БАЛЛОВ
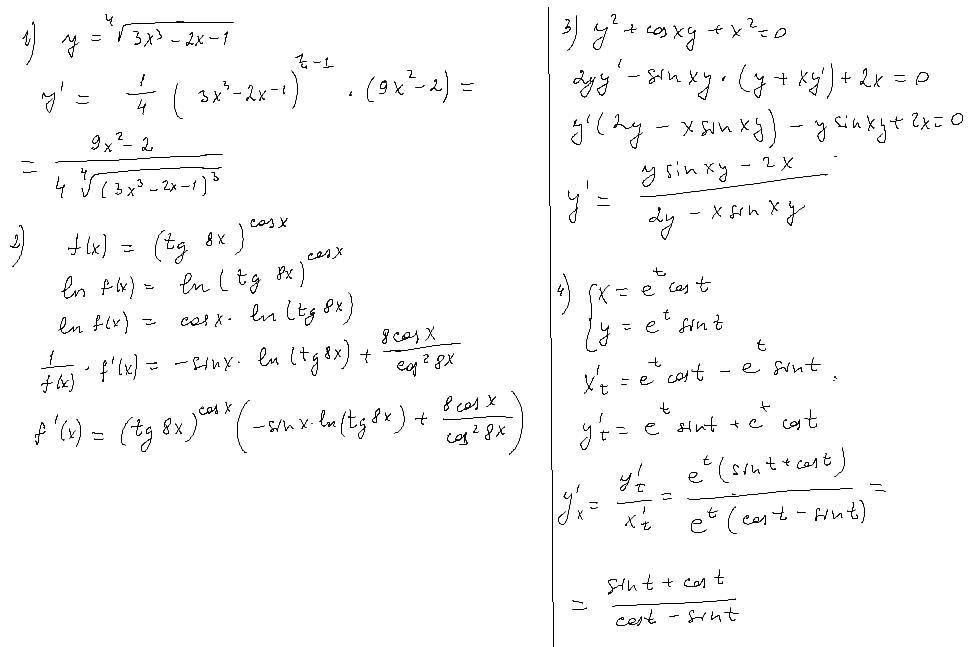
Приложения:

dashulka22222:
а задание где? что с этим делать?
Ответы
Ответ дал:
1
Ответ:
Пошаговое объяснение:
Приложения:

Вас заинтересует
2 года назад
2 года назад
2 года назад
8 лет назад
9 лет назад