• Предмет: Математика
  • Автор: frog5555555
  • Вопрос задан 7 лет назад

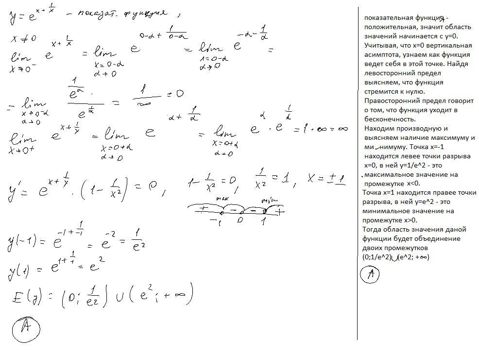
. срочно!!!! с объяснением Найдите множество значений функции ​

Приложения:

Ответы

Ответ дал: dashulka22222
0

Ответ:

А

Пошаговое объяснение:

Приложения:
Вас заинтересует