• Предмет: Алгебра
  • Автор: Jaggel
  • Вопрос задан 7 лет назад

система уравнений,помогите

Приложения:

Ответы

Ответ дал: bb573878
1

Ответ:

Объяснение:

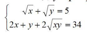
\displaystyle\\\left \{ {{\sqrt{x} +\sqrt{y}=5 } \atop {2x+y+2\sqrt{xy} =34}} \right. ~~~~~~~~~~\boxed{\boxed{x\geq 0;y\geq 0}}\\\\\\\left \{ {{\sqrt{y} =5-\sqrt{x} } \atop {2x+(5-\sqrt{x})^2+2\sqrt{x}(5-\sqrt{x})=34 }} \right. \\\\\\\left \{ {{\sqrt{y} =5-\sqrt{x} } \atop {2x+25-10\sqrt{x} +x+10\sqrt{x} -2x=34 }} \right. \\\\\\\left \{ {{\sqrt{y} =5-\sqrt{x} } \atop {x=34-25 }} \right. \\\\\\\left \{ {{\sqrt{y} =5-\sqrt{x} } \atop {x=9 }} \right. \\\\\\\left \{ {{\sqrt{y} =2} \atop {x=9}} \right. \\\\

x = 9; y = 4

Ответ: (9; 4)

Вас заинтересует