• Предмет: Математика
  • Автор: linalinalina324
  • Вопрос задан 7 лет назад

В ! A 3 4 Ответ: A = А( B. - BO ).
помогите пожалуйста​

Приложения:

Ответы

Ответ дал: ivanivanov200200200
0

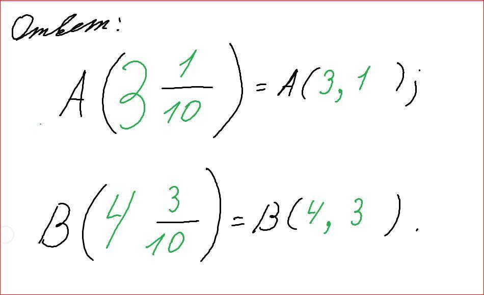
Ответ:

Пошаговое объяснение:

Приложения:
Вас заинтересует