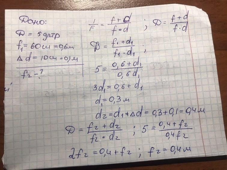
На екрані, розташованому на відстані 60 см від тонкої лінзи з оптичною
силою 5 дптр, отримали чітке зображення предмета. Предмет відсувають на 10 см
далі від лінзи. На скільки сантиметрів слід перемістити екран, щоб одержати на
ньому чітке зображення?
Допоможіть будь ласка!!!!!!
Ответы
Ответ дал:
4
Ответ:
Розв'язок на фото)
Объяснение:
Приложения:


Anmrs:
Дякую велике!!!
Вас заинтересует
2 года назад
2 года назад
2 года назад
8 лет назад
8 лет назад
9 лет назад