• Предмет: Математика
  • Автор: nasty3495
  • Вопрос задан 7 лет назад

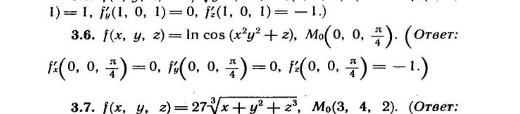
Помогите пж 3.6.Вычислить значения частных производных f'x(M0)f'y(M0) f'z(M0)для данной функции f(x,y,z)в точке

Приложения:

Ответы

Ответ дал: sappytimik
0

Ответ:прикол

Пошаговое объяснение:

Вас заинтересует