• Предмет: Математика
  • Автор: chaker252
  • Вопрос задан 7 лет назад

Помогите пж пж пж!!!!! ​

Приложения:

Ответы

Ответ дал: ivanivanov200200200
0

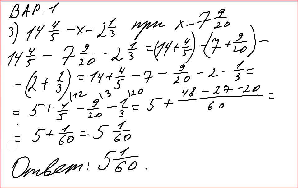
Ответ:

Пошаговое объяснение:

Приложения:
Вас заинтересует