• Предмет: Математика
  • Автор: rriixx
  • Вопрос задан 7 лет назад

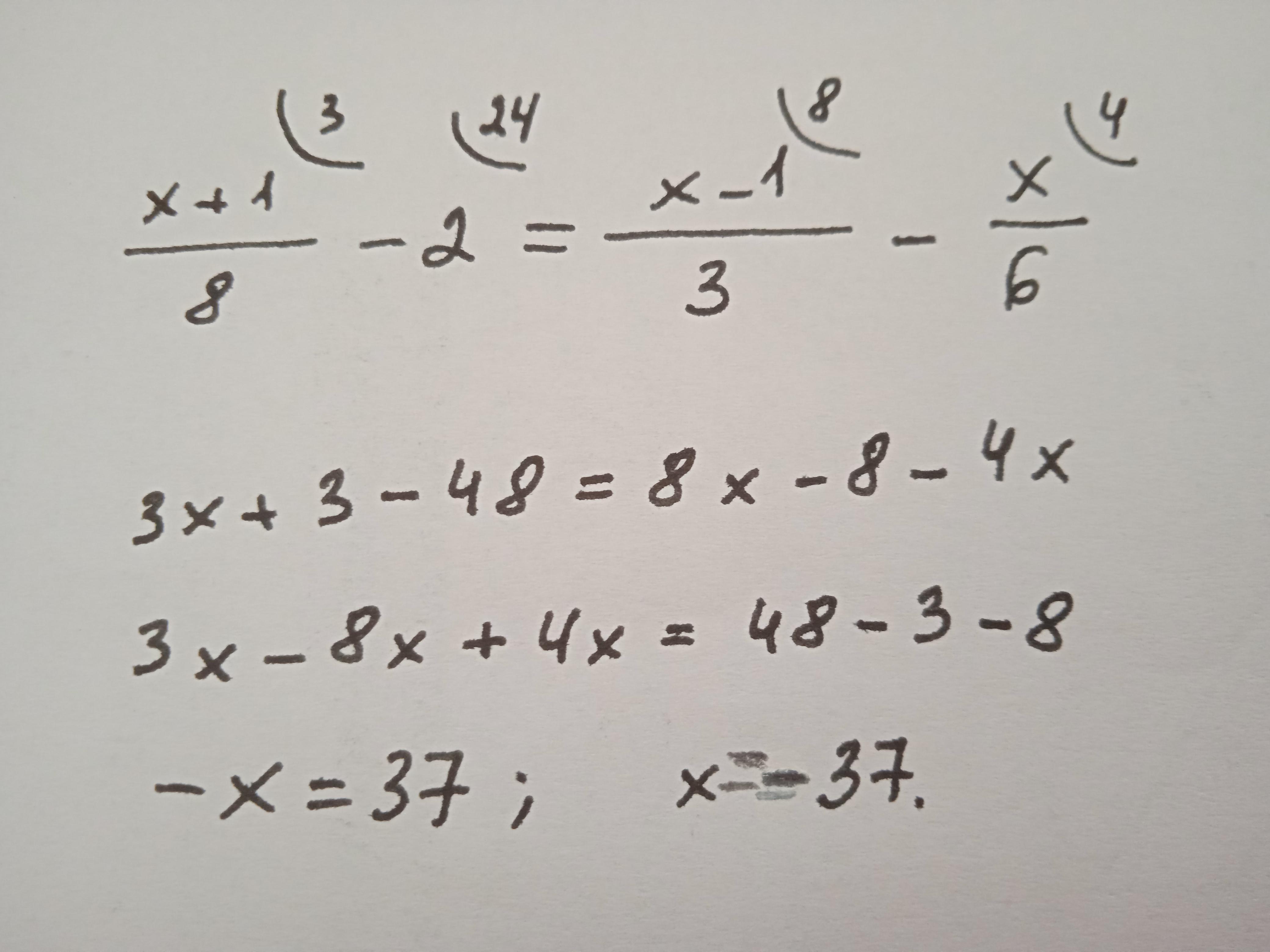
решите уравнение x+1/8-2=x-1/3-x/6
помогите пожалуйста!​

Приложения:

Ответы

Ответ дал: Smishok
2

Ответ:

x= -37

Пошаговое объяснение:

3(x+1)-48=8(x-1)-4x
3x+3-48=8x-8-4x

3x-45=4x-8

3x-4x=-8+45

-x= 37

x= -37

Ответ дал: Пеппер
4

Ответ:

-37

Пошаговое объяснение:

Приложения:
Вас заинтересует