• Предмет: Алгебра
  • Автор: rolsrolsr292
  • Вопрос задан 7 лет назад

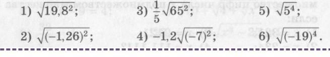
На листочке пожалуйста ​

Приложения:

Ответы

Ответ дал: irrealiya
1

Відповідь:

Пояснення:

Приложения:

rolsrolsr292: харош
rolsrolsr292: если правильно то напишу
Вас заинтересует