• Предмет: Математика
  • Автор: Аноним
  • Вопрос задан 7 лет назад

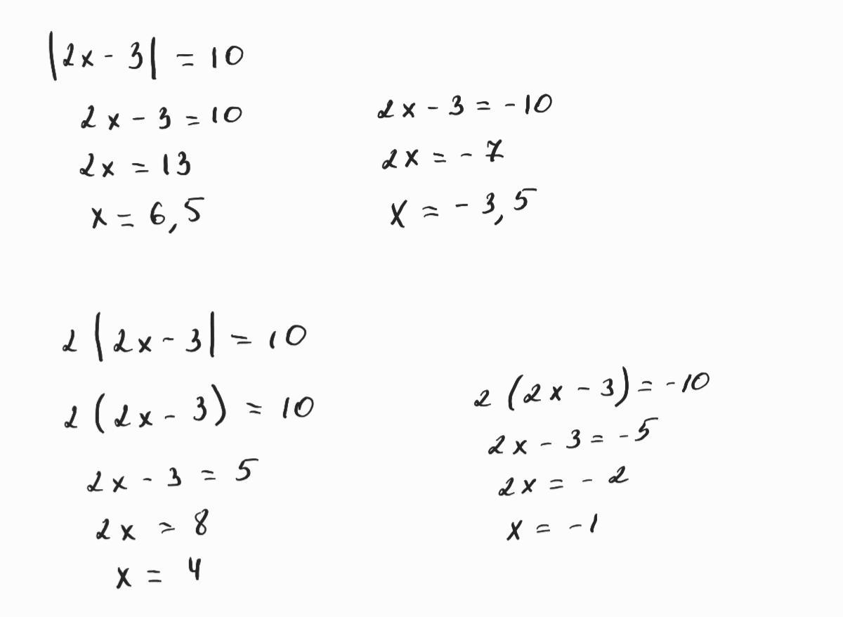
Решите уравнение:2 |2х-3| =10


Пожалуйста

Ответы

Ответ дал: sabirzelena
0

Ответ:

Пошаговое объяснение:

2х-3=10/2=5

а)

2х-3=5

2х=8

х=4.

б)

2х-3=-5

2х=-2

х=-1

Ответ дал: Ляляляля109
0

Решение на фото, так как не поняла, какой у тебя вариант решила два разных, напиши тот, который у тебя.

Приложения:
Вас заинтересует