• Предмет: Математика
  • Автор: alikrum2004
  • Вопрос задан 7 лет назад

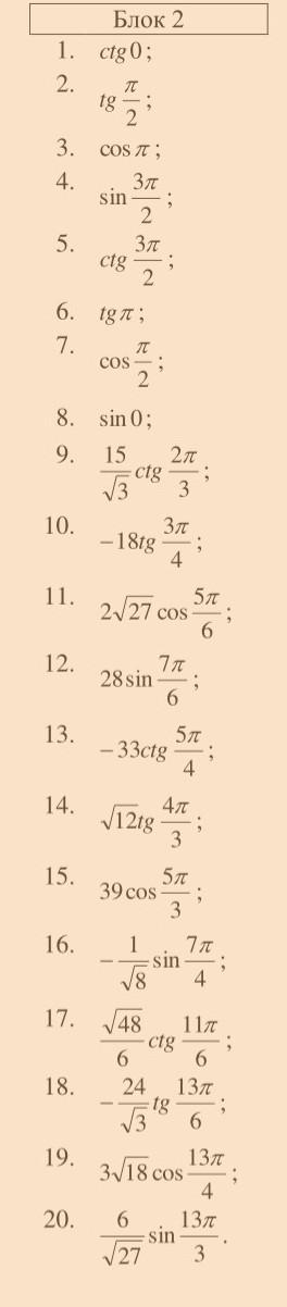
помогите с математикой, пж,
картинка​

Приложения:

Ответы

Ответ дал: rimamo134
0

Ответ:в прикреплённом файле

Пошаговое объяснение:

Приложения:
Вас заинтересует