• Предмет: Алгебра
  • Автор: alenasolodun37
  • Вопрос задан 7 лет назад

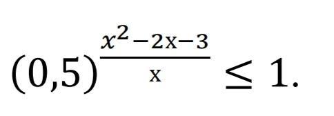
Знайдіть найбільший від'ємний розв'язок нерівності...

Приложения:

Ответы

Ответ дал: bb573878
1

Ответ:

Объяснение:

\displaystyle\\(0,5)^\frac{x^2-2x-3}{x} \leq 1\\\\(0,5)^\frac{x^2-2x-3}{x} \leq(0,5)^0\\\\0<0,5<1\\\\\frac{x^2-2x-3}{x} \geq 0\\\\\frac{x^2+x-3x-3}{x} \geq 0\\\\\frac{(x+1)(x-3)}{x} \geq 0\\\\x=-1;x\neq 0;x=3\\\\znaki:---[-1]+++(0)---[3]+++>x\\\\x\in[-1;0)\cup[3;+\infty)

отрицательный целый корень х= -1


fcccccccdsakakao2004: Привет, помоги мне по алгебре пожалуйста!!
Вас заинтересует