• Предмет: Математика
  • Автор: strike1039
  • Вопрос задан 7 лет назад

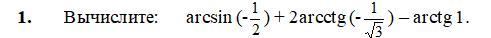
Помогите решить матешу, всё на скрине

Приложения:

Ответы

Ответ дал: rimamo134
1

Ответ:в прикреплённом файле

Пошаговое объяснение:

Приложения:
Вас заинтересует