• Предмет: Математика
  • Автор: DinoSk
  • Вопрос задан 7 лет назад

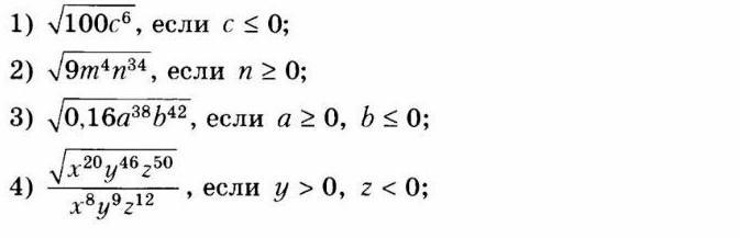
СРОЧНО ПОЖАЛУЙСТА, ЖЕЛАТЕЛЬНО С РЕШЕНИЕ ​

Приложения:

minepig2007: А что надо-то
DinoSk: решить
DinoSk: упростить выражения

Ответы

Ответ дал: minepig2007
0

Ответ:

10c^3
3m^2n^17
0,4a^19b^21
x^2y^14z^13
Заранее говорю, что я не уверен в этих ответах, так как учусь только в 7 классе, но изучал. Так что дальше сам, просто я не понимаю вот эти если.


DinoSk: а можно решение ?
minepig2007: а, извини
minepig2007: там просто сокращение корней
minepig2007: типо квадратный корень и 100с^6 это как умножение корней 100 и c^6. корень из 100 это 10, а корень из c^6 сокращается и получаем c^3 (то есть делим степенную часть на корневую часть (КВАДРАТНЫЙ корень, то есть 2)).
minepig2007: ты уж извини
minepig2007: я еще кое-что скажу
minepig2007: корень не может быть отрицательным, ну пока немерее в рациональных числах
DinoSk: спасибо)
Вас заинтересует