Ответы
Ответ дал:
0
пояснение:
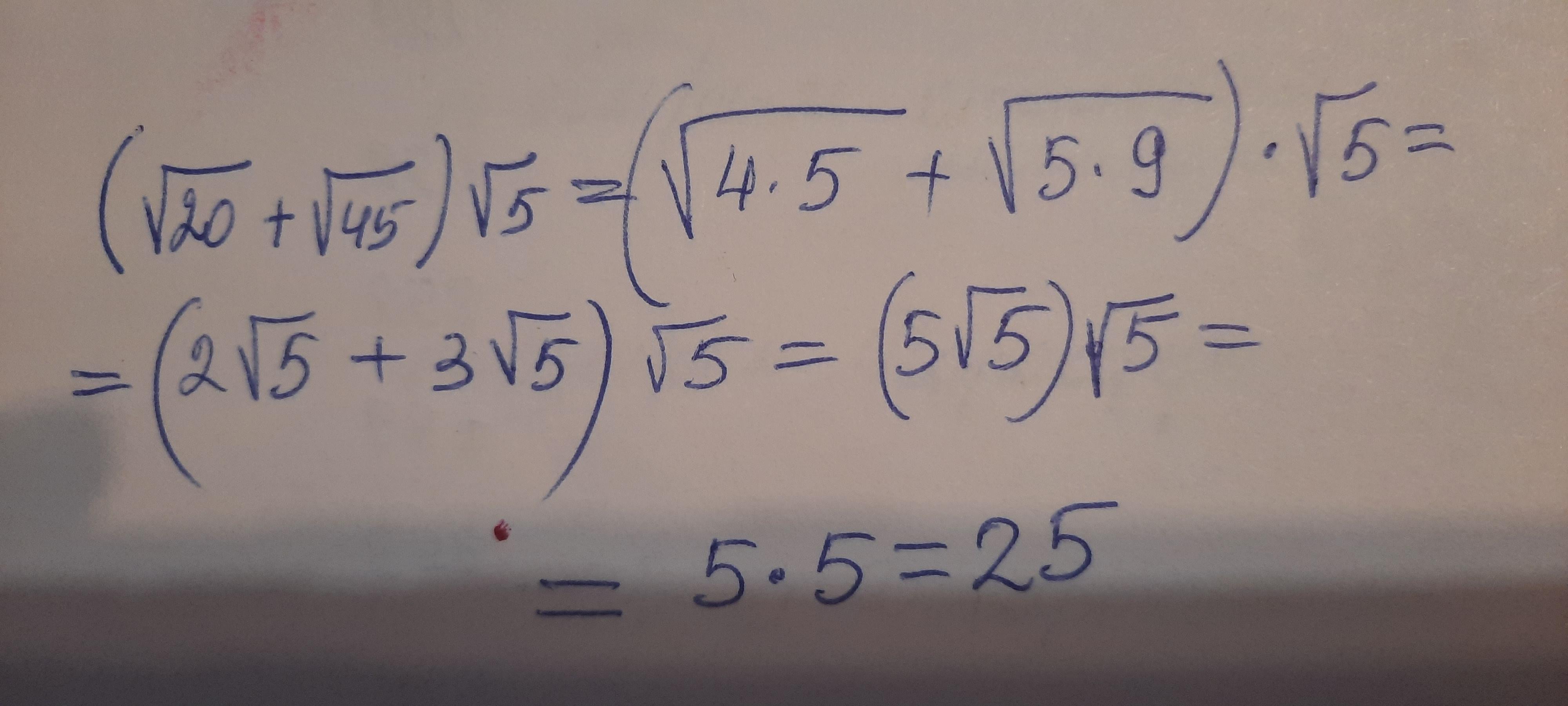
√5*√5 = √5² = 5
решение высылаю на фото
Приложения:


abdurasidkurbanaliev:
Можно подробнее объяснить и решить с 7
Вас заинтересует
2 года назад
2 года назад
2 года назад
2 года назад
8 лет назад
8 лет назад
9 лет назад