• Предмет: Алгебра
  • Автор: nazarsav14235
  • Вопрос задан 7 лет назад

Помогите СРОЧНО!!!!!​

Приложения:

Ответы

Ответ дал: Nelia2019
0

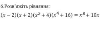
Используем формулы сокращенного умножения:

(а-в)(а+в) = а²-в²

решение прикрепляю на фото

Приложения:
Вас заинтересует