• Предмет: Алгебра
  • Автор: Dianeslife
  • Вопрос задан 7 лет назад

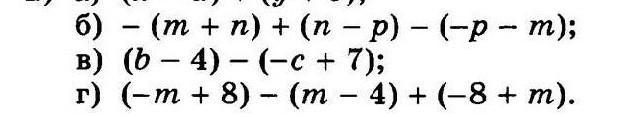
помогите срочно пожалуйста​

Приложения:

Ответы

Ответ дал: aiturgan1708
0

Ответ:

ОбъОбъяснениеОбъОбъяснениеяснениеяснение:

Приложения:
Вас заинтересует