• Предмет: Алгебра
  • Автор: alex0471x
  • Вопрос задан 7 лет назад

Помогите пожалуйста 50 б

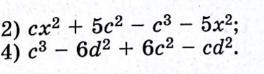
Приложения:

Steveeee: Что надо сделать?
alex0471x: розклати на множники
ivanova312345: 2). (х-с)•(х+с)•(с-5)
4). (с+6)•(с-d)•(c+d)

Ответы

Ответ дал: bilolb509
0

Ответ:

Объяснение:

Смотреть в рисунок

Приложения:
Вас заинтересует