• Предмет: Математика
  • Автор: murtazaalievaajsa
  • Вопрос задан 7 лет назад

Решите пожалуйста срочно!!!!! СРОЧНО НУЖНО БУДЕТ!!!!!!!!!!​

Приложения:

murtazaalievaajsa: ответьте пожалуйста !!!!!!!

Ответы

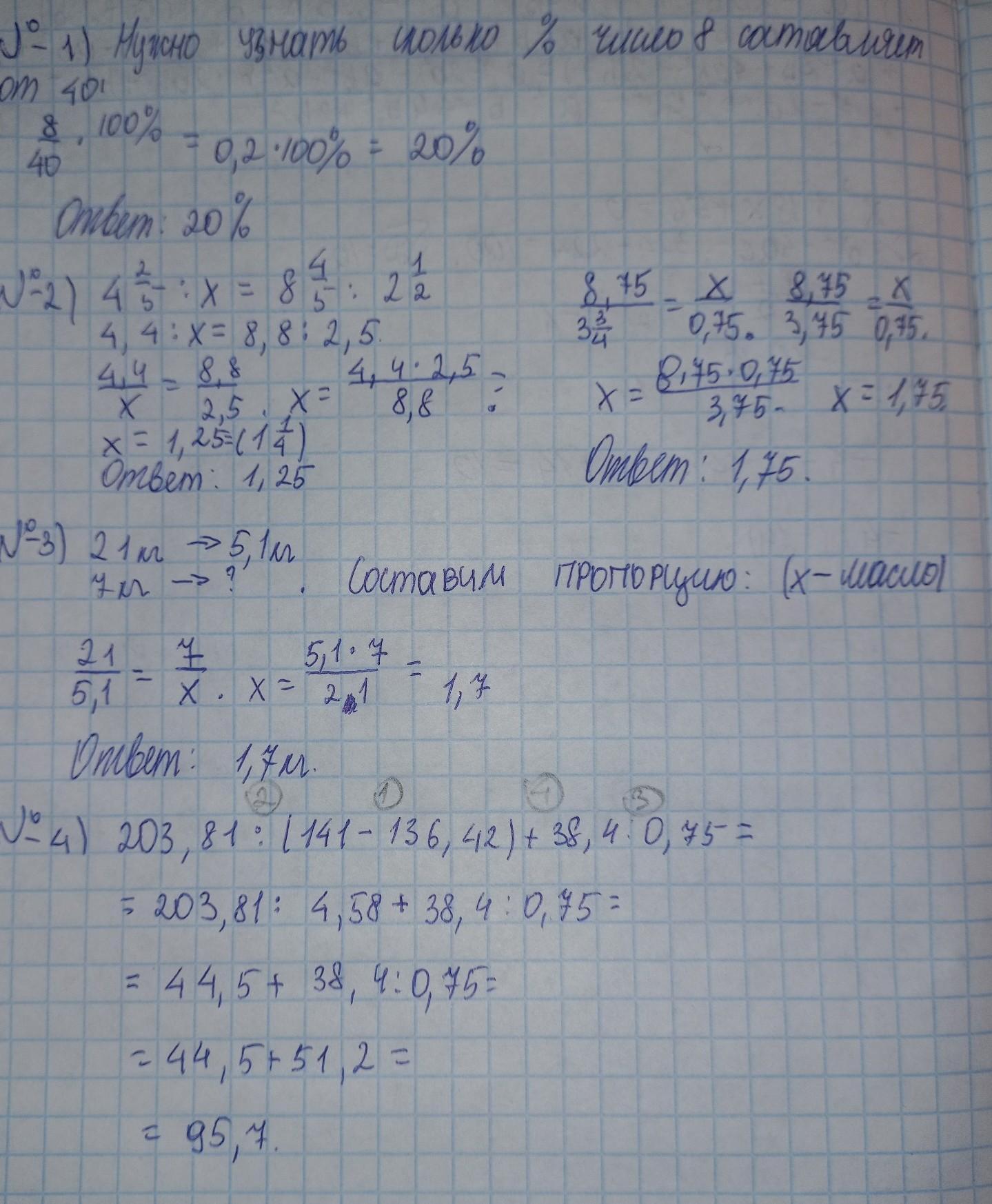
Ответ дал: pem228
1

Ответ:

вот, думаю, все правильно))

Приложения:

murtazaalievaajsa: спасибо
Вас заинтересует