• Предмет: Математика
  • Автор: alenasolodun37
  • Вопрос задан 7 лет назад

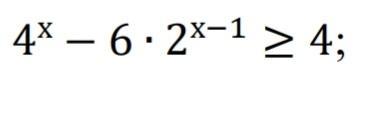
Розв'яжіть нерівність

Приложения:

Ответы

Ответ дал: m11m
1

Ответ:

Пошаговое объяснение:

!!!!!!!!!!!!!!!!!!!!!!!!

Приложения:
Вас заинтересует