• Предмет: Математика
  • Автор: Аноним
  • Вопрос задан 7 лет назад

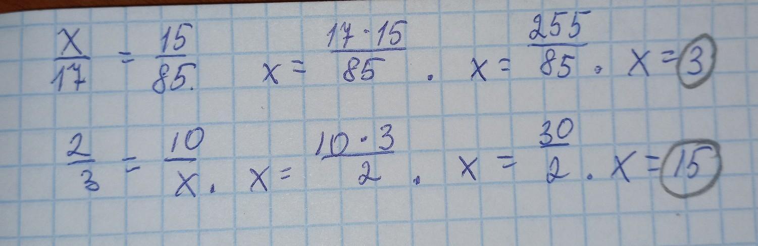
реши пропорцию. x/17=15/85, 2/3=10/x ​

Ответы

Ответ дал: pem228
1

Ответ:

вот такие дела..........

Приложения:
Ответ дал: tetamotatetyamotya
0

Ответ:вот

Пошаговое объяснение:

Приложения:
Вас заинтересует