• Предмет: Математика
  • Автор: aneri777
  • Вопрос задан 7 лет назад

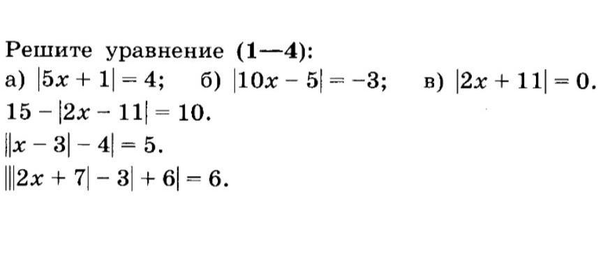
помогите с модулями.
фото прикреплено.​

Приложения:

Ответы

Ответ дал: wprrsf
1

Ответ:

а) 5х+1=4

5х=4-1

5х=3

х=3÷5

б) 10х-5=-3 неверно, т.к. модуль не может быть отрицательным

в) 2х+11=0 неверно, т.к. модуль не может быть равен 0

15-2х-11=10

-2х=15-11-10

-2х=-6

-х=3

х=-3

х-3-4=5

х=3+4+5

х=12

2х+7-3+6=6

2х=6-7-3-6

2х=-10

х=-5

Прошу прощения, если не так, давно модули не повторяла


aneri777: нет, мне кажется неправильно
aneri777: нет, правильно, спс
Вас заинтересует