• Предмет: Алгебра
  • Автор: mistichiski
  • Вопрос задан 7 лет назад

!!!РЕШИТЕ ПОЖАЛУЙСТА ООЧЕНЬ НАДО!!!

Приложения:

mistichiski: С РЕШЕНИЕМ

Ответы

Ответ дал: Universalka
1

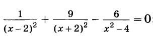
\displaystyle\bf\\\frac{1}{(x-2)^{2} } +\frac{9}{(x+2)^{2} } -\frac{6}{x^{2} -4}=0 \\\\\\\frac{1}{(x-2)^{2} } +\frac{9}{(x+2)^{2} } -\frac{6}{(x-2)(x+2)}=0 \\\\\\\frac{1\cdot(x+2)^{2}+9\cdot(x-2)^{2} -6\cdot(x^{2} -4) }{(x-2)^{2}(x+2)^{2}  } =0\\\\\\\frac{x^{2} +4x+4+9x^{2} -36x+36-6x^{2} +24}{(x-2)^{2}(x+2)^{2}  } =0\\\\\\\frac{4x^{2} -32x+64}{(x-2)^{2}(x+2)^{2}  } =0

\displaystyle\bf\\\left \{ {{4x^{2}-32x+64=0 } \atop {(x-2)^{2} \neq 0 \ ; \ (x+2)^{2} \neq 0}} \right. \\\\\\\left \{ {{x^{2} -8x+16=0} \atop {x\neq 2 \ ; \ x\neq -2}} \right. \\\\\\\left \{ {{(x-4)^{2} =0} \atop {x\neq 2 \ ; \ x\neq -2}} \right. \\\\\\\left \{ {{x=4} \atop {x\neq 2 \ ; \ x\neq -2}} \right. \\\\\\Otvet:4

Ответ дал: Veronika724
1

\dfrac{1}{\left(x-2\right)^2} + \dfrac{9}{\left(x+2\right)^2} - \dfrac{6}{x^2-4} = 0

Сразу установим значения, которые не будут являться корнями уравнения, так как обращают знаменатель хотя бы одной из дробей в 0.

\begin{equation*}\begin{cases}\left(x-2\right)^2 \neq 0\\\left(x+2\right)^2 \neq 0\\x^2 - 4 \neq 0\end{cases}\end{equation*}\ \ \ \ \Leftrightarrow\ \begin{equation*}\begin{cases}x-2 \neq 0\\x+2 \neq 0\\\left(x-2\right)\left(x+2\right) \neq 0\end{cases}\end{equation*}\ \ \ \Leftrightarrow\ \begin{equation*}\begin{cases}x\neq 2\\x\neq-2\end{cases}\end{equation*}

Теперь, если в решении вылезет одно из этих двух значений, мы будем знать, что на самом деле это не корень уравнения. Теперь вернёмся к самому уравнению. Разложим разность квадратов в знаменателе третьего слагаемого.

\dfrac{1}{\left(x-2\right)^2} + \dfrac{9}{\left(x+2\right)^2} - \dfrac{6}{\left(x-2\right)\left(x+2\right)} = 0

Немного преобразуем дроби.

\left(\dfrac{1}{x-2}\right)^2 + \left(\dfrac{3}{x+2}\right)^2 - 2\cdot\dfrac{1\cdot 3}{\left(x-2\right)\left(x+2\right)} = 0

Переместим слагаемые местами.

\left(\dfrac{1}{x-2}\right)^2 - 2\cdot\dfrac{1}{x-2}\cdot\dfrac{3}{x+2} + \left(\dfrac{3}{x+2}\right)^2 = 0

Получаем ничто иное, как формулу квадрата разности!

\boxed{\boldsymbol{a^2 - 2ab + b^2 = \left(a-b\right)^2}}

В нашем уравнении по этой формуле получаем:

\left(\dfrac{1}{x-2} - \dfrac{3}{x+2}\right)^2 = 0

Приводим дроби к общему знаменателю.

\left(\dfrac{x+2}{\left(x-2\right)\left(x+2\right)} - \dfrac{3\left(x-2\right)}{\left(x-2\right)\left(x+2\right)}\right)^2 = 0\\\\\\\left(\dfrac{x+2-3\left(x-2\right)}{\left(x-2\right)\left(x+2\right)}\right)^2 = 0\\\\\\\left(\dfrac{x+2-3x+6}{\left(x-2\right)\left(x+2\right)}\right)^2 = 0\\\\\\\left(\dfrac{8-2x}{\left(x-2\right)\left(x+2\right)}\right)^2 = 0\\\\\\\dfrac{8-2x}{\left(x-2\right)\left(x+2\right)} = 0

Дробь равна нулю, когда числитель равен нулю, а знаменатель отличен от нуля. Ситуацию в знаменателе мы уже разбирали в начале решения, поэтому просто приравниваем числитель к нулю.

8-2x =0\\\\2x = 8\\\\\boxed{\boldsymbol{x = 4}}

Это значение не выходит из области определения, а значит, корнем уравнения является.

Ответ: 4.

Вас заинтересует