• Предмет: Алгебра
  • Автор: mihajlosushanun
  • Вопрос задан 7 лет назад

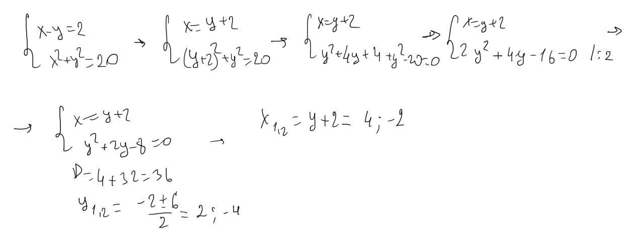
Розвяжіть систему рівнянь x-y=2,x^2+y^2=20

Ответы

Ответ дал: Warlock1
0

Ответ:

так

Объяснение:

Приложения:

mihajlosushanun: Спасибо
Вас заинтересует