• Предмет: Химия
  • Автор: hvzeyneb
  • Вопрос задан 7 лет назад

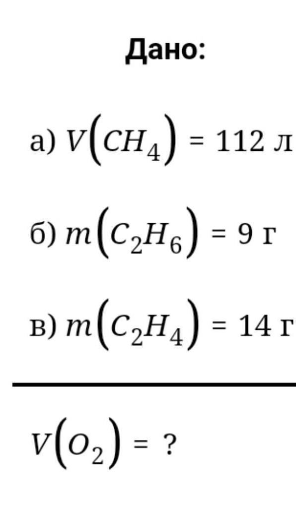
помогите пожалуйста. очень срочно нужно.​

Приложения:

Ответы

Ответ дал: qweeerrtsvvbjne
0

ответ: ещё нужен ответ?

Вас заинтересует