• Предмет: Алгебра
  • Автор: nazarsav14235
  • Вопрос задан 7 лет назад

Помогите!!!!!!!!!!!!!​

Приложения:

romakantayev: (2/7p⁷ + 4/11k⁹)(4/11k⁹ - 2/7p⁷)

Ответы

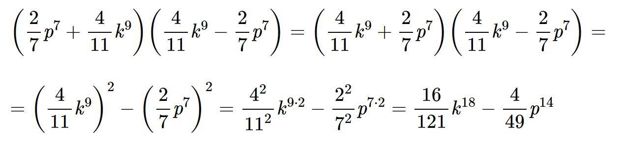
Ответ дал: roman1072007
0

Ответ:

если нужно было сложить по формуле, то вот ответ

Объяснение:

Приложения:

nazarsav14235: нечего не понятно можеж тут написать пж
nazarsav14235: ауууу
roman1072007: Походу поздно, ну сори
Ответ дал: Аноним
1

...................................

Приложения:

nazarsav14235: помоги пж (0.2m³-0.8n⁶)(0.2m³+0.8n⁶)
Аноним: =(0,2m³)²-(0,8n⁶)²=0,04m⁶-0,64n¹²
Вас заинтересует