• Предмет: Математика
  • Автор: TheNezyko
  • Вопрос задан 7 лет назад

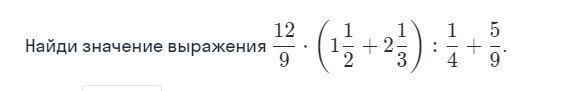
Найдите значение выражений!

Приложения:

Ответы

Ответ дал: spasibo3pajbrh
1

 \frac{12}{9}   \times (1 \frac{1}{2}  + 2 \frac{1}{3} ) \div  \frac{1}{4}  +  \frac{5}{9}  =  \\  =  \frac{4}{3}  \times ( 3 +  \frac{1}{2}  +  \frac{1}{3} ) \times 4 +  \frac{5}{9}  =  \\  =  \frac{16}{3}  \times  3 \frac{5}{6}  +  \frac{5}{9 }  =  \frac{16 \times 23}{3 \times 6}  +  \frac{5}{9}  =  \\  =  \frac{8 \times 23 + 5}{9}  =  \frac{189}{9}  = 21


TheNezyko: Спасибо большое=)
Вас заинтересует