• Предмет: Алгебра
  • Автор: Simba2017
  • Вопрос задан 7 лет назад

Дифференциальные вычисления

Приложения:

Ответы

Ответ дал: igorShap
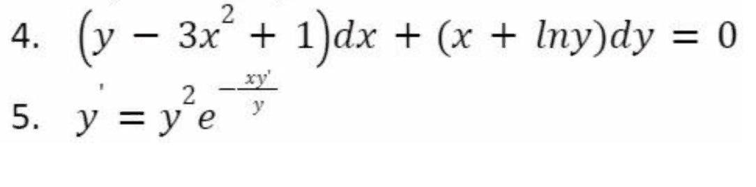
2

4) Заметим, что это уравнение в полных дифференциалах. И правда:

(y-3x^2+1)'_y=1=(x+ln y)'_x

Тогда решение данного ДУ можно записать в виде z(x,y)=C. При этом

z=\int(y-3x^2+1)dx=xy-x^3+x+\varphi(y)

Определяем неизвестную функцию:

(xy-x^3+x+\varphi(y))'_y=x+lny\Leftrightarrow \varphi'(y)=lny\\ \varphi(y)=\int \underbrace{lny}_{v}\underbrace{dy}_{du}=y\cdot lny-\int y\cdot \dfrac{dy}{y}=y\cdot lny-y+C_0

Окончательно \boxed{xy-x^3+x+y\cdot lny-y=C}

5) Замена z=lny\Rightarrow z'=\dfrac{y'}{y},y=e^z:

z'=e^{z-xz'}\Leftrightarrow xz'+lnz'=z - получено уравнение Лагранжа.

Полагаем z'=p, дифференцируем по x:

xp+lnp=z\Rightarrow p+x \dfrac{dp}{dx}+\dfrac{1}{p}\cdot \dfrac{dp}{dx}=p\Rightarrow \left(x +\dfrac{1}{p}\right)\cdot dp=0

1. dp=0\Rightarrow p=C_1\Rightarrow z=C_1x+C_2\Rightarrow y=C_3\cdot e^{C_1x}

Подставим в исходное ДУ:

C_1C_3\cdot e^{C_1x}=(C_3\cdot e^{C_1x})^2 \cdot \exp(-x\cdot C_1C_3\cdot e^{C_1x}/(C_3\cdot e^{C_1x}))\Rightarrow\\  \Rightarrow C_1=C_3\Rightarrow y=C_1\cdot e^{C_1x}

2. Проверим особое решение:

x +\dfrac{1}{p}=0\Rightarrow p=-\dfrac{1}{x}\Rightarrow z=C_4-lnx\Rightarrow y=\dfrac{C_5}{x}

Подставим в исходное ДУ:

-\dfrac{C_5}{x^2}=\dfrac{C_5^2}{x^2}\cdot \exp\left(-x\cdot \left(-\dfrac{C_5}{x^2}\right)\left / \dfrac{C_5}{x}\right .\right)\Rightarrow -1=C_5\cdot e\Rightarrow C_5=-\dfrac{1}{e}\Rightarrow y=-\dfrac{1}{xe}

Окончательно \boxed{y=C_1\cdot e^{C_1x};y=-\dfrac{1}{xe}}


Simba2017: спасибо вам!
Вас заинтересует