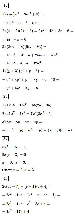
1. Представьте в виде многочлена выражение:
1) 7m(m3 – 8m2 + 9); 3) (3m – 4n)(5m + 8n);
2) (x – 2)(2x + 3); 4) (y + 3)(y2 + y – 6).
2. Разложите на множители:
1) 12ab – 18b2; 2) 21x7 – 7x4; 3) 8x – 8y + ax – ay.
3. Решите уравнение 5x2 – 15x = 0.
4. Упростите выражение 2c(3c – 7) – (c – 1)(c + 4).
5. Решите уравнение: 1) (4x – 1)/9 – (x + 2)/6 = 2;
2) (3x – 5)(2x + 7) = (3x + 1)(2x – 3) + 4x.
6. Найдите значение выражения 14xy – 2y + 7x – 1, если х = 1 1/7, y = –0,6. На выполнение 40 минут.
Ответы
Ответ дал:
1
Ответ:
Файлы снизу - решение
Объяснение:
Приложения:
Вас заинтересует
2 года назад
2 года назад
3 года назад
3 года назад
8 лет назад
8 лет назад
10 лет назад