ДАЮ 20 БАЛЛОВ ЗА ЗАДАНИЕ !!!!!!!!!!
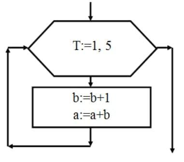
Какое значение примет переменная a после выполнения набора команд если изначальное значение переменных было b=3 , a =0? Ответ введи в числовой форме
Приложения:
Ответы
Ответ дал:
9
Ответ: ответ в объяснении. Хорошего дня!
Объяснение:
Приложения:
Аноним:
Спасибо огромное!
Не за что! Информатика мне особо не даётся, но за то могу делится правильными ответами. Удач в учебе!!
Вас заинтересует
2 года назад
2 года назад
3 года назад
10 лет назад