Ответы
Ответ дал:
1
Ответ:
а. 2,9
б. -3,9
/////////////
dolphilina:
я вижу
Ответ дал:
0
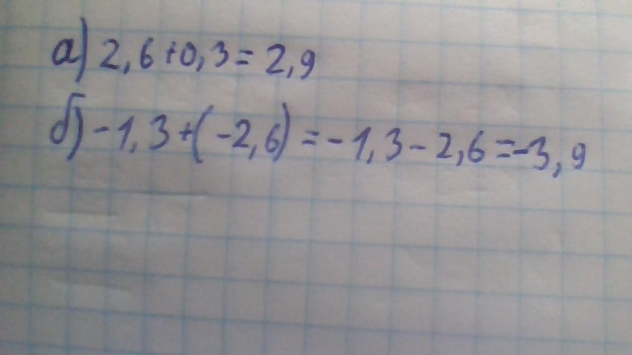
Ответ:
2.9, -3.9 .
Пошаговое объяснение:
В приклеплённом файле.
Приложения:

Вас заинтересует
2 года назад
2 года назад
2 года назад
2 года назад
8 лет назад
8 лет назад
9 лет назад