• Предмет: Математика
  • Автор: unkerovavala657
  • Вопрос задан 7 лет назад

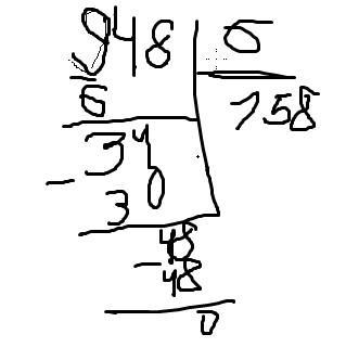
пожалуйста решите столбиком 948:6​


danyliukartem29: Ответ 156
zhirnoff4: 158 умник
zhirnoff4: считать научись

Ответы

Ответ дал: gridanovaalex
2
Вот ответ :158
Можно лучший ответ?)))
Приложения:

mamamilaya55: С помощью какого приложения ты сделал этот пример?
gridanovaalex: Фотомач
mamamilaya55: Спасибо
Ответ дал: zhirnoff4
0

Ответ:

Пошаговое объяснение:

Приложения:

mamamilaya55: Можно было по аккуратнее
zhirnoff4: как я сделаю тебе лучше в паинте?
mamamilaya55: Ладно, ладно
Вас заинтересует