{ x+y/2-2y/3=5/2 3x/2+2y=0 прошу решить пожалуйста
Avantgardе:
что в числителе а что в знаменателе?
Ответы
Ответ дал:
0
Объяснение:
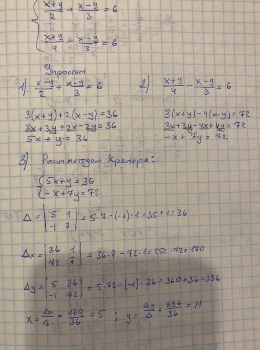
вот вроді так но хз чи правильно
Приложения:

Вас заинтересует
2 года назад
2 года назад
8 лет назад
8 лет назад