Паралельно осі циліндра проведено переріз, який відтинає від кола основи дугу, градусна міра якої дорівнює 120⁰. Площа перерізу дорівнює 16√3 см2, а діагональ перерізу утворює з площиною основи кут 60⁰. Знайдіть площу повної поверхні циліндра.
Ответы
Ответ дал:
0
Объяснение:
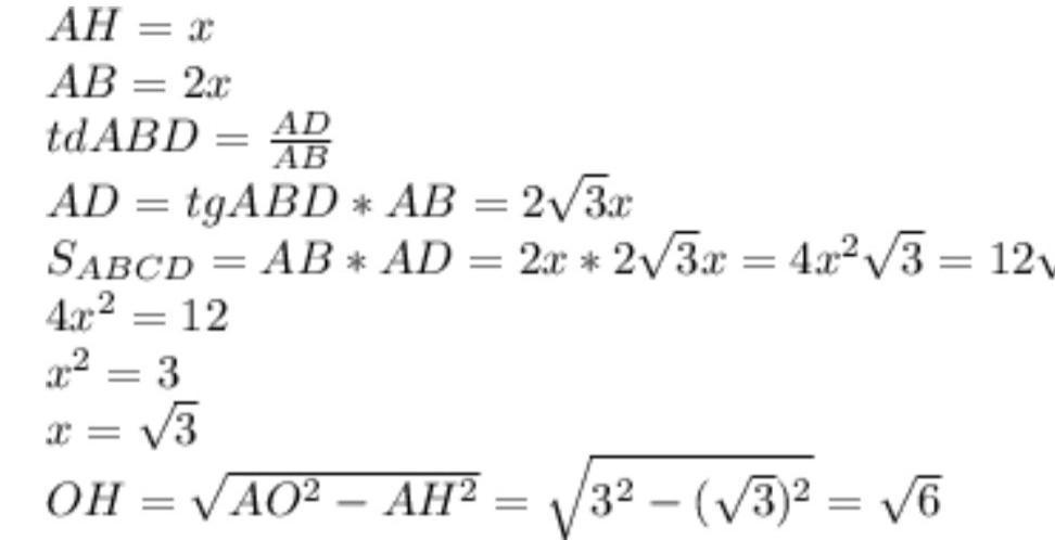
окончательный ответ если не понятно то это /6
Приложения:
Вас заинтересует
2 года назад
2 года назад
3 года назад
3 года назад
8 лет назад
8 лет назад
10 лет назад