Ответы
Ответ дал:
0
Ответ:
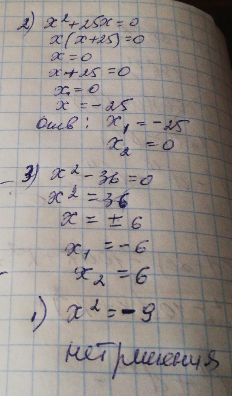
1) пустое множество, невозможно, нет корней
2) х(х+25) =0
х= 0 или х=-25
3) х= -6, 6
Ответ дал:
0
Ответ:
Смотри решение на фото...
Приложения:

Вас заинтересует
2 года назад
2 года назад
8 лет назад
8 лет назад
9 лет назад