• Предмет: Математика
  • Автор: cavemi851
  • Вопрос задан 7 лет назад

Помогите пожалуйста, нужно решить уравнение с дробями ​

Приложения:

Ответы

Ответ дал: varyamaslova
1

Ответ:

Пошаговое объяснение:

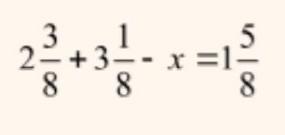
19/8+25/8-x=13/8

-x=13/8-19/8-25/8

-x=-31/8

x=31/8

x= 3 7/8

надеюсь

я тебе помогла


cavemi851: Спасибо
varyamaslova: пожуйлиста
Ответ дал: jekadva
1

Ответ:

x = 3 7/8

Пошаговое объяснение:

2 3/8 + 3 1/8 - x = 1 5/8

5 4/8 - x = 1 5/8

x = 5 4/8 - 1 5/8

x = 4 12/8 - 1 5/8

x = 3 7/8


cavemi851: пасиба :)
Вас заинтересует