Алгебра 60 баллов!
Срочно. Примеры мб легкие но я вообще давно эти буквенные примеры не понимаю
Приложения:

Ответы
Ответ дал:
1
Ответ:
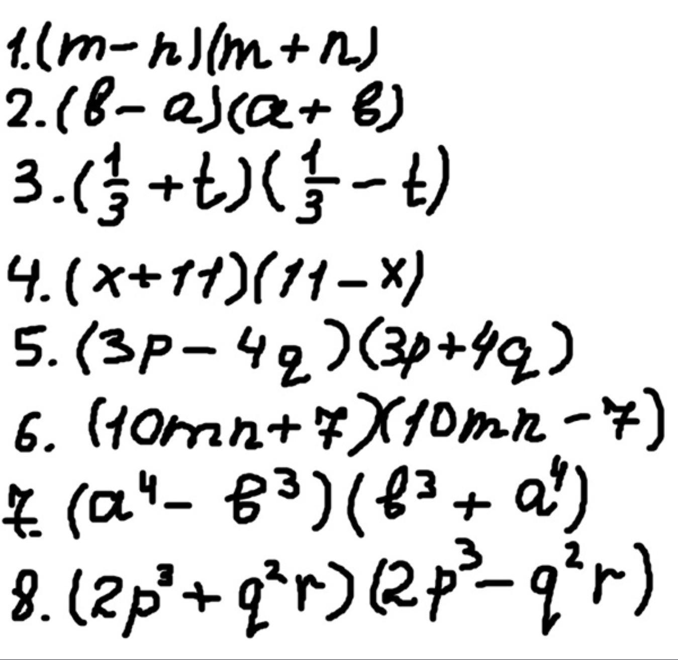
m²-n² это первый
Объяснение:
b²-a²
(1/3)²-t²
11²-x²
(3p)²-(4q)²
(10mn)²-7²
(a⁴)²-(b³)²
(2p³)²-(q²r)²
jstk8:
Спасибо! Сам в алгебре в примерах с буквами вообще не понимаю
Ответ дал:
1
1)M2-n2
2)b2-a2
4)121-x2
3)одна девятая-t2
5)9p2-16q2
6)100m2n2-49
7)a16-b9
8)4p9-a4r
2 это квадрат в 7 задание а в 16 степени
2)b2-a2
4)121-x2
3)одна девятая-t2
5)9p2-16q2
6)100m2n2-49
7)a16-b9
8)4p9-a4r
2 это квадрат в 7 задание а в 16 степени
Вас заинтересует
2 года назад
2 года назад
2 года назад
8 лет назад
9 лет назад
9 лет назад