Ответы
Ответ дал:
1
Ответ:
должно быть правильно, удачи )
Приложения:

Ответ дал:
1
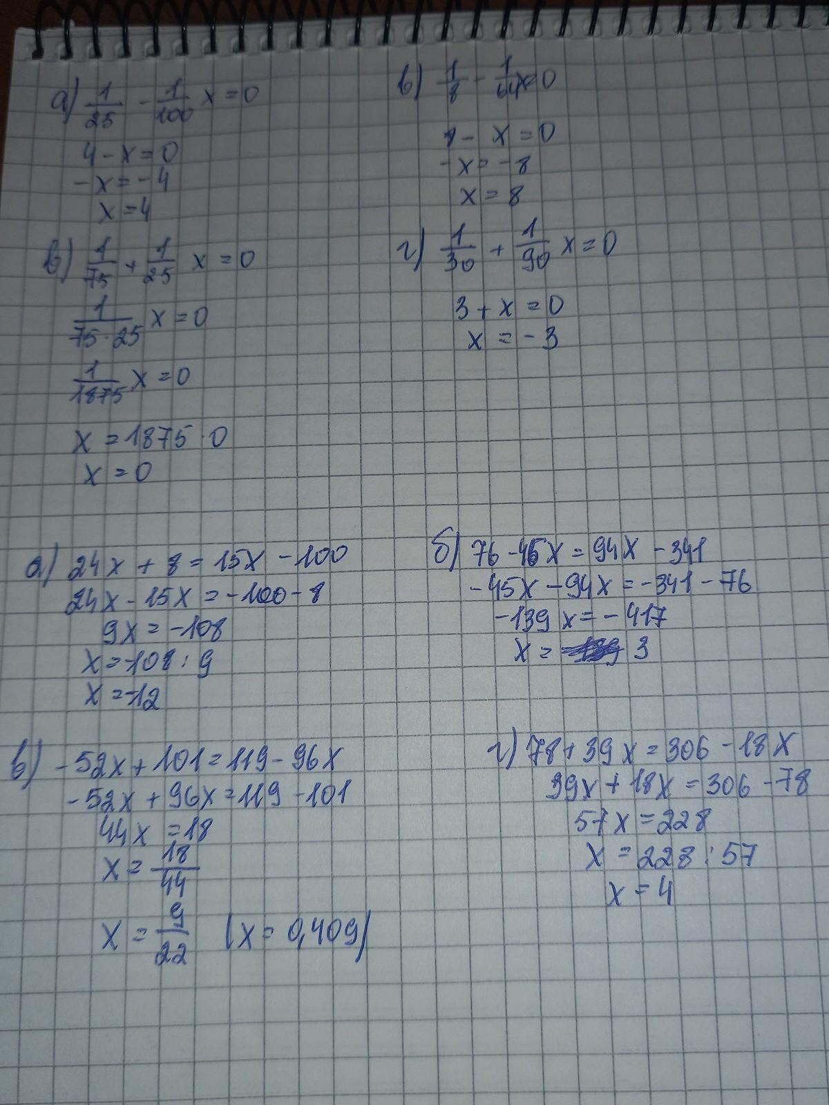
a) 4-x=0
-x=-4
x=4
б) 1+3x=0
3x=-1
x= -1/3
в)8-x=0
-x=-8
x=8
г)3+x=0
x=-3
~это был первый номер~
а)24x-15x=-100-8
9x=-100-8
9x=-108
x=-12
б)- 45x - 94x =- 341 - 76
-139x=-417
x = 3
в)-52x+96x=119-101
44x=18
x=9/22
г)39x+18x=306-78
57x=228
x=4
Вас заинтересует
2 года назад
2 года назад
2 года назад
8 лет назад
8 лет назад
9 лет назад