• Предмет: Физика
  • Автор: romashka888
  • Вопрос задан 10 лет назад

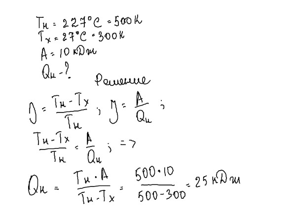
температура нагревателя  идеальной тепловой машины  Карно 427 С, а  температура холодильника  27 С. за 1 цикл  рабочее тело машины  совершает работу  20 кДж. какое количество теплоты отдаст  рабочее тело  за 1 цикл холодильнику?

Ответы

Ответ дал: ivanchik82
0
вот так вот тоже долго решала
Приложения:
Ответ дал: romashka888
0
к сожалению не подходит 1)10кдж; 2)30кдж; 3)15кдж
Ответ дал: ivanchik82
0
точно?
Ответ дал: romashka888
0
так 427!
Ответ дал: ivanchik82
0
АА ПЕРЕПУТАЛА
Вас заинтересует