• Предмет: Алгебра
  • Автор: Аноним
  • Вопрос задан 7 лет назад

помогите пожалуйста срочно!!​

Приложения:

Ответы

Ответ дал: kasimovamokhinur06
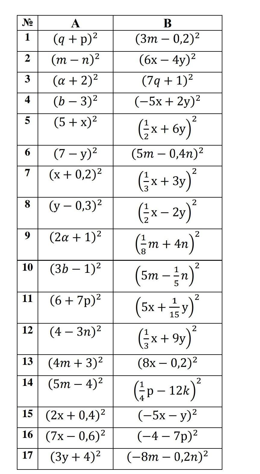
1

Ответ:

(q + p {)}^{2}  =  {q}^{2}  + 2qp  + p {}^{2}

(m - n  {)}^{2}   =  {m}^{2}  - 2mn +  {n}^{2}

(a + 2) {}^{2} = a {}^{2}   + 4a + 4

(b - 3 {)}^{2} =  {b}^{2}   - 6b + 9

(5  + x {)}^{2}  = 25 + 10x +  {x}^{2}

(7 - y {)}^{2}  = 49 - 14y +  {y}^{2}

(x + 0.2 {)}^{2} =  {x}^{2}   + 0.4 x + 0.04

(y - 0.3 {)}^{2} =  {y}^{2}   - 0.6y + 0.09

(2a + 1) {}^{2}  = 4 {a}^{2}  + 4a + 1

........


Аноним: а столбец б где?
Вас заинтересует