• Предмет: Алгебра
  • Автор: bthfjfnfcbcbf
  • Вопрос задан 7 лет назад

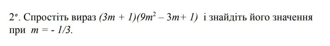
Помогите).............​

Приложения:

Ответы

Ответ дал: nasibaubaydullaeva94
0

Ответ:

27m^3-9m^2+3m+9m^2-3m+1=27m^3+1=27×(-1/3)^3=27×(-1/27)=-1

Вас заинтересует