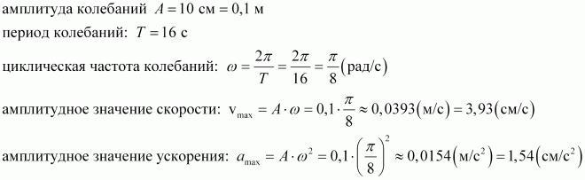
2. По графику зависимости координаты .. см 10 колеблющегося тела от времени (рис. 151) 5 определите все необходимые величины для записи уравнения движения и постро- -5 ения графика зависимости скорости -107 и ускорения от времени. AA Рис. 15. К упражнению 25a2
Приложения:

Ответы
Ответ дал:
46
Ответ:
все на картинке
Объяснение:
Приложения:

kuznesovvalera2016:
Благодарю тебя
Вас заинтересует
2 года назад
2 года назад
2 года назад
2 года назад
8 лет назад
9 лет назад