• Предмет: Алгебра
  • Автор: dubovickaairina27
  • Вопрос задан 7 лет назад

Решите уравнение:p³+6p²+9p=0

Ответы

Ответ дал: lhelpyou
2

Ответ:

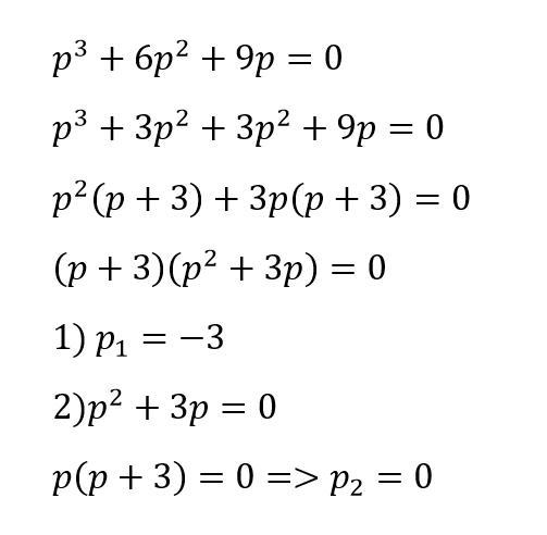
p^3+6p^2+9p=0\\p(p^2+6p+9)=0\\p=0

и

p^2+6p+9=0\\p_{1} +p_{2} =-6\\p_{1} *p_{2} =9\\p_{1} =-3\\p_{2} =-3

Ответ: -3, 0

Ответ дал: MrRuke12
1

Ответ:

x1 = 0;  x2 = -3

Объяснение:

решается при помощи разложения на множители

Приложения:
Вас заинтересует