• Предмет: Алгебра
  • Автор: V0sDyx20
  • Вопрос задан 7 лет назад

Формулы скороченного множення, Срочно.

Приложения:

Ответы

Ответ дал: luckashchukvitalii
1

Ответ:

Объяснение:

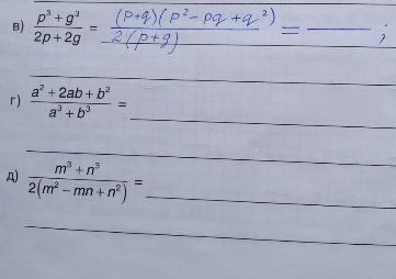
г (a+b)^2/(a+b)(a^2-ab+b^2)

д (m+n)(m^2-mn+n^2)/2(m^2-mn+n^2)=(m+n)/2


V0sDyx20: в не будет походу, но спасибо
luckashchukvitalii: простите думал ви уже его зделали,там будет (p^2-pq+q^2)/2
Вас заинтересует