• Предмет: Математика
  • Автор: derkachyana252
  • Вопрос задан 7 лет назад

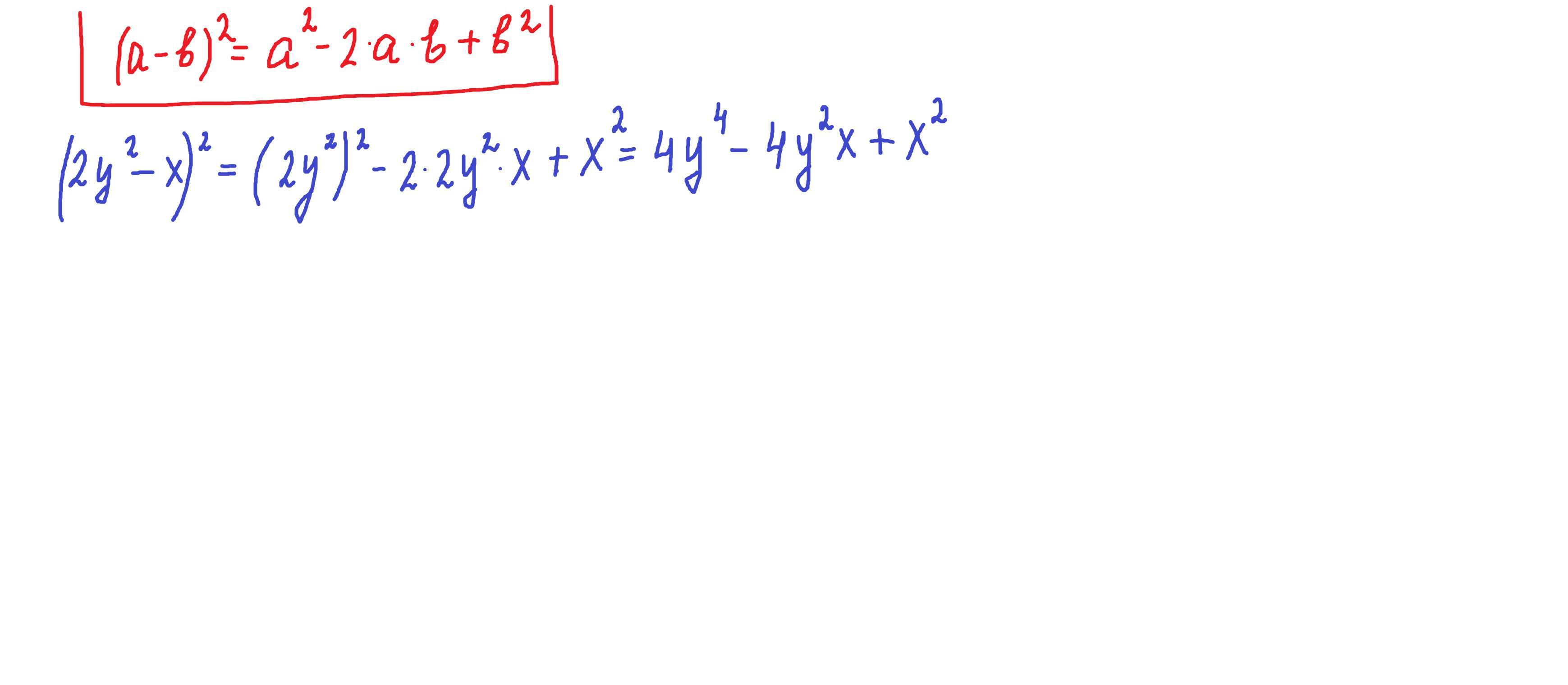
(2у ²-х)² запишіть у вигляді многочлена

Ответы

Ответ дал: parus77
0

Ответ:

Пошаговое объяснение:

решение внизу,формула там же

Приложения:
Вас заинтересует